Algo que já venho querendo escrever há algum tempo é sobre o futuro dos clubes brasileiros em um mercado que a cada dia mais se apresenta global.
Em meus tempos de criança e adolescente, a coisa mais difícil de se ver era uma camisa de um clube que não carioca nas ruas. Os mercados eram locais, no máximo nacionais – o Campeonato Estadual tinha importância equivalente ao “Brasileirão”.
Entretanto, desde o final da década de 80 o mundo passa por um processo sem retorno denominado “globalização”. Os mercados passaram a ser nacionais e, aos poucos, vão se tornando mundiais. Saio para levar minhas filhas na pracinha perto de minha casa e é bastante comum ver crianças com camisas de clubes paulistas ou internacionais, por exemplo.
Até mesmo o acesso para compra de uniformes de times de outros estados ou estrangeiros hoje é bem mais fácil. Este é um bom exemplo de que a dinâmica de consumo do futebol está mudando de forma definitiva. O mercado que permitia quatro grandes clubes cariocas, por ser local e isolado, hoje não é mais suficiente. O que conta é o panorama mundial e, em menor escala, o nacional.
Faço este preâmbulo para apresentar aos leitores duas tabelas bastante interessantes sobre os clubes brasileiros: a das receitas obtidas nos últimos quatro anos e o das dívidas. Além disso, comparar o potencial destes clubes e tentar projetar algo em termos de futuro.
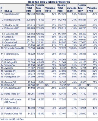
Observando-se bem a tabela acima, percebe-se que o “Trio de Ferro” paulista lidera os números, com o Internacional como uma espécie de “intruso”. Isto é natural: o mercado consumidor paulista é o maior do país e o Inter tem a seu favor um bairrismo exacerbado capitalizado em um programa de sócios que é um dos maiores do mundo hoje.
Com exceção do São Paulo, que manteve sua receita praticamente estável, todos os demais deste grupo experimentaram expressivo aumento de receita de 2007 para 2010.
Após este primeiro grupo, temos um verdadeiro “gigante adormecido”, que é o Flamengo, apenas o quinto colocado. Por ser o único clube, hoje, de alcance totalmente nacional – o Corinthians não tem muita expressão nas regiões Norte e Nordeste do país, apesar do esforço neste sentido feito pela televisão – o rubro negro tem potencial para ser o líder em receitas de forma incontestável. E por que não o é?
Como escrevi recentemente, o trabalho de prospecção de receitas feito pela diretoria do clube é praticamente inexistente. O Flamengo não tem projeto de sócio torcedor, não tem um trabalho de licenciamento de marca adequado e seu marketing é absolutamente inexistente.
Apesar de estar até o momento em que escrevo sem o chamado “patrocínio master” de sua camisa é provável que para 2011 a diferença para o grupo da frente diminua um pouco devido ao adiantamento do novo contrato da televisão. Aliás,como já escrevi aqui anteriormente este é outro bom exemplo de como não se faz uma negociação.
Após estes cinco clubes temos três equipes que nesta seara, hoje, já podem ser considerados “médios” em termos nacionais: Santos, Grêmio e Cruzeiro. São clubes que representam mercados locais, sem expressão significativa em todo o país. O caso do Grêmio é um pouco diferente devido ao bairrismo dos gaúchos.
Prosseguindo, temos os demais “grandes” cariocas e o Atlético-PR. Fluminense, Vasco e Botafogo são os grandes exemplos desta transformação de mercados a que me referi no início deste texto: hoje o mercado local apenas não permite a manutenção no grupo das grandes equipes brasileiras.
Entretanto, são casos diferentes: o Fluminense vive da parceria com sua patrocinadora, que permite alguns brilhos como a conquista do último Campeonato Brasileiro. Entretanto, quando sua mantenedora se afastar do clube a tendência é de que ocorra um processo de decadência semelhante ao vivido pelo Palmeiras após a saída da Parmalat. E o Fluminense ainda possui a quarta maior dívida, que combinada ao potencial de geração de receitas leva a um quadro bastante complicado. Não é exagero dizer que o clube hoje vive uma espécie de “bolha” financeira.
O caso do Vasco é um pouco diferente. Em que pese ainda ter expressão de torcida fora do Rio, esta vem diminuindo a olhos vistos e além disso o clube se ressente das desastrosas administrações dos últimos dez anos.
Já o Botafogo além de ter uma torcida pequena possui nada menos que a segunda maior dívida, representando sete vezes a sua receita de 2010. É uma situação que vai exigir anos e anos de austeridade se o clube quiser se manter de forma independente – e talvez nem isso seja suficiente.
O Atlético Paranaense é de uma cidade menor, Curitiba, mas administrado de forma um pouco mais profissional que instituições maiores. Entretanto, os gastos para adequar a Arena da Baixada à Copa de 2014 podem representar um baque significativo em sua situação financeira.
Daí para baixo são clubes que somente sobreviverão de forma competitiva na Primeira Divisão Nacional em duas hipóteses: ou se tornando “clubes de nicho” com torcidas numericamente pequenas mas (muito) fiéis ou se fundindo a outros a fim de ganhar musculatura.
A diferença de receitas e de potencial consumidor para os líderes da lista é expressiva, e tende a aumentar ainda mais a partir da entrada em vigor do novo contrato da televisão – que privilegia claramente Corinthians e Flamengo, pela ordem.
O quadro fica claro quando observamos os dados de receita mundiais. Tomando-se por base a temporada 2009/10, o Aston Villa, vigésimo da lista, auferiu 230 milhões de reais de receita. Primeiro brasileiro, o Corinthians teve 210 milhões de reais, apesar do câmbio apreciado estar nos favorecendo neste caso.
Isto deixa claro que levando-se em conta o potencial não explorado de receitas, o tamanho de torcida e a penetração nacional e internacional o Brasil tem condição de ter no máximo três ou quatro clubes de expressão mundial. Arriscaria dizer que seriam o Corinthians, o Flamengo, mais um clube paulista (talvez o São Paulo) e se mantiver a boa administração talvez o Internacional.
O Palmeiras é um caso curioso, porque vem se tornando claramente um “clube de nicho” voltado à colônia italiana e seus descendentes, e provavelmente este se tornará um fator limitador de crescimento.
Os demais ou se fundem para ser competitivos a nível nacional e sul americano, ou se contentam com posições coadjuvantes, ou mesmo podem caminhar à insolvência ou à extinção. Olho para o Brasil e não consigo ver mais que três clubes grandes em São Paulo, dois no Rio, um em Minas e no Paraná e um para todo o Nordeste, pelos fatores expostos acima, ou seja, tamanho de mercado consumidor, globalização, geração de receita, potencial de geração e relação dívida/receita.
Este texto já está um pouco longo e paro por aqui. Entretanto, amanhã retomarei o tema, mas sob outro aspecto: o das dívidas e seu corolário, a qualidade de gestão. Até lá.
P.S.- Fonte: BDO RCS

Para tristeza de muitos, o Palmeiras não vai virar Portuguesa Santista.
Para infelicidade de muitos, Vasco, Botafogo e Fluminense continuarão grandes e não vão virar América, Bangu e Canto do Rio.